tsujimotterのノートブック

日曜数学者 tsujimotter の「趣味で数学」実践ノート

2020-10-06から1日間の記事一覧

有限体上の楕円曲線とヤコブスタール和

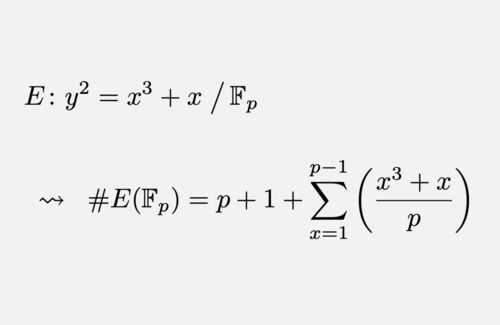
前回の記事から引き続き、代数曲線の での解の個数 について思いを馳せたいと思います。前回の記事はこちら: tsujimotter.hatenablog.comなお今回の内容は、前回の記事の内容をまったく読んでいなくても理解できる内容となっています。 今回は、 を素数とし…